Eureka Math——Most Widely Used Curriculum in America
When we created Eureka Math—originally EngageNY Math—we did so with the intention of creating a truly new curriculum. One that was intelligently designed to teach math as a coherent body of knowledge that follows the proper learning progressions required for true math fluency, and not just a set of skills. A curriculum that would instill deep, conceptual understanding that students could build on as high as they wanted to while also allowing them to find the joy in the subject. We submitted those plans to the New York State Education Department and won the contract to create every grade of what is now known as Eureka Math.
Our goal is to help all students become fluent in mathematics. Fluency goes beyond just knowing how a particular process can be used to solve a problem. It also requires understanding why that process works. With Eureka Math, students learn to think, strategize and solve problems… not just get answers.
Eureka Math以前叫“Engage NY”,是美国公立私立学校老师会参考的数学教材之一。
Eureka Math的优点
1-是美国应用最广的教师参考教材,完全贴合美国通用核心标准,跟孩子在学校学习的内容高度吻合;
2-材料齐全,从K年级到12年级,每个年级包括教师指导、学生课本、习题本、测验、家长参考、数学游戏一应俱全;
3-完全免费!
目前整理了Eureka Math从Pre-k到小学5年级的学习资料。Eureka Math好的地方是不止有给学生的习题,还有每一课给家长的两页讲解,帮助家长掌握方法更好的对自己的孩子进行辅导。另外文件还包含学习计划表,可以根据计划表进行辅导。
Eureka Math独有培养数字感的 K-5 模型,帮助孩子从小建立更高层次的数学基础
幼儿园K
在幼儿园中,使用数键模型同时教授分解和组合,以便学生开始理解部分与整体之间的关系。他们开始发现数字 6 到 10 可以是“友好的”,因为学生发现数字中嵌入的数量较少,例如,1 和 5 嵌入 6 中(见下文)。
一个碗里有 6 个苹果。1个苹果是黄色的。5个苹果是绿色的。
这项工作是流利 1 年级的和差达到 10,以及 2 年级的和差达到 20 的流利基础。
一年级
一年级学生学习完成一个十单元,如下例所示。学生使用幼儿园熟悉的 5 组图作为日益复杂的数字键表示的图形支架。
一旦学生能做出“10”,他们就可以轻松做出“下一个 10”或 60,如上图 59+6=60+5 所示。这使他们能够在 2 年级完成一个 100 的单元。
二年级
一个二年级的学生看到,正如 9 或 59 接近“十”或“下一个十”一样,390 与下一个百,在本例中为 400(如下所示)仅相差 10。
可以用数键做减法吗?绝对地。一年级学生通过“取十”策略解决简单的减法问题。然后二年级的学生将这种理解扩展到“取一百”来做一个更简单的问题(如下所示)。
在上面的 Grade 2 示例中,请注意 198 与下一个 100、200 的距离有多近。学生无需使用传统算法通过重命名进行减法。相反,他们可以使用数字键和他们对部分-整体关系的理解来创建一个更简单的问题。
三年级
在 3 年级,学生继续使用数字键,现在将新单元添加到他们的曲目中。同学们看到,就像我们可以加减个位、十位、百位一样,我们也可以加减二位、三位、四位、五位等。下面看并列:
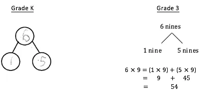
请注意幼儿园中 6 个苹果分解为 1 个黄苹果和 5 个青苹果是如何为三年级的分配属性设置阶段的,当单位从一个变为九时:6 个九 = 1 个九 + 5 个九。
为什么我们要教学生使用数键模型分解乘法事实?在Eureka Math中,学生始终如一地使用他们所知道的,而不是学习“技巧”,来帮助他们解决更具挑战性的问题。我们知道乘以 9 对我们的学生来说可能具有挑战性,但乘以 5 是一项更简单、更易于管理的任务。所以在这里,我们可以将 6 个 9 分成 2 个较小的部分,1 个 9 和 5 个 9。
三年级的学生也开始学习分数的基本组成部分,即单位分数,例如 1/2、1/3、1/4、1/5 等。他们看到任何分数都可以分解成更小的单位分数. 下面,您可以看到学生如何将 5/5 分解为 5 个 1/5 单元。然后,学生可以分解 6 个五分之一,这样 6/5 = 5/5 + 1/5。
四年级
在 4 年级,学生们看到他们可以使用分数来完成简单的算术运算,用相同的单位加减。因此,正如一年级学生可以完成“1 个十”一样,四年级学生也可以完成“1 个一”。
四年级的学生明白 8 个九分之一接近 1 个一(九分之九)。四年级学生分解了 6 个九分法,使得 6/9 = 1/9 + 5/9。然后,他/她先将 8/9 和 1/9 组合成 1。剩余的部分合并为 3 5/9。
四年级的学生也可以利用他们对分解一个单元的理解(即回忆从十或一百中取出)从一个中取出(如下所示)。
五年级
在 5 年级,当学生面对不等同的单元时,新的复杂性就会出现。现在,学生必须创建等效单位才能成功加减。如下面的问题所示,学生找到一个相似的单位,它是两个分母的倍数。在这里,最大的相似单位是九分之一。学生将分子和分母都乘以 3,将 2/3 重命名为九分之一的数字。
五年级的学生还使用数字键分解分数以从一中取出。在这里,五年级学生将 5 2/3 分解为从 1 一中减去 8/9,即 9/9。现在,学生将解决一个更简单的加法问题,1/9 + 4 2/3,将三分之一更改为较小的相等单位,例如,九分之一,然后可以添加。
结论
看到部分-整体关系和多个解决方案路径,是数感的重要组成部分。一个学生可能知道 7 x 6 = 42,因为 7 个六 = 5 个六 + 2 个六,因此应用了早期的理解 7 = 5 + 2。数字键是一个强大的模型,它支持我们对学生的所有期望:灵活、战略性和创造性地思考的能力。你的学生以后会感谢你的。
资源明细
——/2024更新/【多课吧DOC8.com-3922】Eureka Math 美国K12幼儿园小学数学教材 尤里卡数学课程 全彩PDF 百度云网盘下载/
├──G1
| ├──parent
| └──student
├──G2
| ├──parent
| └──student
├──G3
| ├──parent
| └──student
├──G4
| ├──parent
| └──student
├──G5
| ├──parent
| └──student
├──K
| ├──parent
| └──student
├──PK
| ├──parent
| └──student
├──EurekaMap.png 157.16kb
└──Plan.png 78.60kb
1、本站整理、介绍、推荐的资源版权属于原出版机构或影像公司,展示、分享仅限于学习交流与研究目的、 参考和辅助购买决策,不得以任何理由在商业行为中使用,否则后果请用户自负。
2、本站仅提供一个观摩学习的环境,相关资源信息及内容均来源于网友投稿或网络(百度网盘),版权争议与本站无关。如有侵权,请邮件联系3360166@qq.com 删除处理。详见权利通知处理。
3、若您喜欢该电子资源,敬请购买注册实体产品,获得更好的技术支持与客户服务。

评论0