世界第一数学思维 奥数课程 已被收录至 原版娃升级之旅-牛津 剑桥 朗文 国家地理 加州 德州 ESL 新加坡原版英语教材 覆盖幼儿小学初中高中 配套点读版PDF 音频视频 白板软件
罗博深,开创世界第一数学思维课程!
有人说,自从罗博深执教以来,美国国际数学奥林匹克队「复活」了!的确,在过去六年中,国家队共取得了四次世界冠军。这位功成名就的华裔数学队教头,又有着哪些不同寻常的数学气质呢?
自从1994年获得国际奥林匹克数学竞赛金牌后,此后很长时间里,美国队都有点「一蹶不振」。
这种低迷的状态一直延续了近20年,直到被一个80后华裔教授所打破。
他是罗博深,2014年,他正式接棒成为美国奥数队总教练。
2015年7月率美国队在泰国清迈举行第56届国际奥林匹克数学竞赛上夺得团体冠军,一举成名。紧接2016年美国队在其带领下的再次夺冠,在美国社会造成了对于数学教育的极大关注。
执教于CMU的罗博深,不仅是一名教师,还是一名数学的布道者。
他打破题海战术,用「思维」让人爱上数学。
生于数学之家,青出于蓝而胜于蓝
罗博深出生于一个数学气氛浓郁的学术之家。
虽然出生在美国,但他的父母都是新加坡人,更远一点讲,父母的祖籍分别是广州和汕头。
罗博深的父亲名为罗伟贤,是威斯康星大学麦迪逊分校统计学专业教授,这也是一位数学大咖,不仅曾是新加坡曾经的高考状元,还荣获Rowland奖、Benjamin Smith Reynolds奖等奖项。母亲名为李月娥,曾是新加坡一所高中里的数学老师。
罗爸爸
70年代,他们举家搬至美国,1982年,罗博深出生。
这样的家庭让罗博深从小就与「数学」二字结缘,而据罗博深本人的回忆,真正让罗博深感受到数学乐趣的还是在小学高年级时父亲的参与。
当罗博深大约五年级时,罗父发现了一本有趣的数学难题书。
里面有一些非比课本的数学题目,比如,你有六根牙签,你能把这六根牙签排成一排,这样就有四个三角形了吗?解决方案是,做一个四面体吧!
这些问题并不是「尽可能快地做100道算术题」,它们是让你跳出条条框框的问题。
在父亲的循循善诱下,罗博深很早就明白,解决数学难题需要持之以恒,而且往往需要非正统的思维。
也正是在这样的背景下,罗博深开始了「青出于蓝而胜于蓝」的数学之路。
1998年,读高中的罗博深与来自美国各地的29名选手一起入选美国奥赛训练营;1999年参加国际奥林匹克数学竞赛,并获得银奖。
在罗马尼亚布加勒斯特的1999年IMO上获得银牌
2000年,18岁的罗博深进入美国加州理工大学攻读数学系,并以 4.3 的平均成绩获得荣誉学士学位,并开始担任美国国家奥数队副教练;
本科毕业后获得丘吉尔奖学金留学英国剑桥大学,2005年获得高等数学研究证书。
2009年底于美国普林斯顿大学获得数学博士学位,2010年开始在美国卡内基梅隆大学(CMU)数学系任教,并于2015年从助理教授晋升为副教授。
接棒美国奥数队总教练,4次夺冠
2014年,罗博深正式接棒成为美国奥数队总教练。
事情的转折点发生在2015年7月,那一年,罗博深率美国队在泰国清迈举行第56届国际奥林匹克数学竞赛上夺得团体冠军。
2015年第56届国际奥林匹克数学竞赛冠军得主美国队选手
这次是美国自1994年夺得冠军后,时隔21年再度夺冠。在此期间,第一名获得者基本上是中国。
这次奥数竞赛持续两天。参赛者每天有四个半小时的时间来解决三个问题,范围包括几何、数论和代数。学生不需要掌握类似微积分等高等数学,但这些问题被设计的异常难,且比赛不允许使用计算器。
国际数学奥林匹克竞赛英国队领队、来自巴斯大学的杰夫·史密斯博士评论说,这是自1959年开始举办奥数竞赛以来最难的一张试卷。
紧接2016年美国队再其带领下的再次夺冠,在美国社会造成了对于数学教育的极大关注。
2018和2019年,罗博深再次带队夺得世界冠军。
如今,罗博深的头衔已不局限于「数学天才」,「金牌教练」成为了代表他成就的另一名号。
数学推销员:思维自由是法宝
罗博深曾说:「集训期间,当然我也会教他们一些知识,但我主要负责让他们享受学习奥数的乐趣,确保在集训结束之后没有一个人想回家。」
作为大学教授,罗博深每年都会走访很多地方参加研讨会。担任奥赛队总教练后,每到一个地方,他都会联系当地高中,主动提出要给那里的学生带去一场「数学公开课」。也说,自己就像「旅行的数学推销员」一样。
而且即使是在多媒体发达的现在,罗博深也仍喜欢写板书。
寻找另类的数学方法,一直是罗博深教授的独特「爱好」。
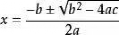
2019年,一篇名为《A Simple Proof of the Quadratic Formula》的论文出现在了arXiv 上,并获得了数学界的关注。
文章的核心,是提出了一种二次方程的「极简」推导方式。
对初中生来说,一元二次方程求根公式非常恼人,因为它十分复杂很不容易被记住;
这篇论文就是提出了一个简单易记的算法。
论文阐述道,假设二次方程式有两个根 R 和 S,我们将其表示为:
当 x=R 或 x=S 时,右侧等于零。将右边拆开得,
当-B=R+S 且 C=RS 时,等式成立。
论文指出,当R 和 S 的和是-B,二次方程两个根的平均值就是-B/2。所以,求根,就是在找-B/2±z,其中的 z 是单个未知量。(若 z 是零,则 R=S=-B/2)。
因为 C=RS,所以,
整理,二次方程的解为:
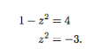
举例来说,假设你有一个一元二次方程:
如果我们找到两个数的和是2,积是4,那么它们都是解。当两个数的平均数为1时,它们的和为2。因此,只要找到一个z,使形式为1±z的两个数有积4(它们的平均数自动为1)即可。
最后的条件相当于这些等价方程中的每一个:
可以通过选择i√3为z来满足最后一个方程,通过逻辑追溯,得出结论:1±i√3都是原二次方程的解。
而且,无理数和虚数对这种方法都不构成障碍。
罗老师表示,这个的目的是为了让二次函数的初学者,更容易接受相关内容。
2014年,罗博深还推出了一个名为Expii的应用程序,该应用程序使用交互式拼图教授基本的数学概念。他还制作了一个YouTube视频,通过解释其编排背后的基本数学知识。
无偿开发防新冠App,用数学思维体会生活
罗博深很强调人对社会的价值。
疫情期间,罗博深教授还自己出钱,开发了一款防止新冠传播的App。
这款名为NOVID的App在不侵犯隐私的前提下,通过蓝牙的超声波来测定两个手机之间的距离,记录下用户的社交路线和会面人,以匿名提醒的方式告知感染风险。
前两年,在一篇关于两次夺得IMO冠军的数学天才付云皓,因大学期间沉迷游戏,导致北大肄业的报道中,罗博深本人还到知乎发表看法,并给予付云皓鼓励。
「我想再次表达对付云皓发声的敬意和欣喜,希望有更多人在温饱之余,能够利用自己的才能,以自己认为合适的方式,为社会、为国家、为世界做出一些积极的,哪怕是非常微小的贡献!」他在知乎上写道。
「作为数学教育者,我一直把提高全世界的数学兴趣和能力、构建一个思考型世界视为己任。我的生活经历跨越了美国、亚洲、欧洲,工作则涉足学术圈、金融圈和现在的创业圈,这让我的价值观慢慢成型,也逐渐有了自己的处世方式。」
数学是帮助人们思考的核心。罗博深教授正用已经成为他生活一部分的数学,体会着生活之美。
敲黑板!!现在开始切入正题!!
今天给大家分享的是,就是这位大神主讲的数学思维教学视频。称为世界第一数学思维课程,绝对不夸张!
罗博深,现任美国奥数队总教练,同时也是美国卡内基美隆大学的数学教授。自2014年正式接棒美国奥数队后,连续两年(2015、2016)带领美国队在国际奥林匹克数学竞赛(IMO)的赛场上力压老对手韩国队和中国队,夺得冠军。今年30出头的罗博深,执教仅三年,就改写了21年以来国际奥赛的历史记录。
而这位出生在美国的新加坡华裔教练,自己也曾在1999年代表美国队出战国际奥数比赛,并获银牌。
由美国奥数总教练罗博深主讲,带视频,面对面的讲解,全程使用英文,配中文字幕,那些看似高深难懂的奥数知识,从此在孩子面前变得不再神秘莫测,零基础的学习门栏,只要认真听上几课,就会有不小的收获。
与传统刷题课完全不同,这里以提高孩子们的数学思维方式为主导,逐级加深,最终结果是高中的孩子们也能从中受益,算是能够掌握到数学的灵魂,这点对他们的数学成长来说是非常珍贵的,因为掌握了数学这个工具的灵魂,也就是掌握了数学的未来。
这次资料包括以下内容:
1
平面几何入门3-6年级
2
神奇的数列3-5年级
3
排列组合入门3-6年级
4
小学数学思维6讲
5
数学思维课入门训练
6
魔法算数3-6年级
7
小学数感训练2-4年级
8
暑假数学思维训练3-6年级
资源明细
——/219奥赛专区/220数学/【多课吧DOC8.com-1431】世界第一数学思维&奥数课程(全英文,2-12年级),世界奥数竞赛冠军总教练罗博深主讲【高清MP4&PDF&PPT-45GB】/
├──01 平面几何入门3-6年级
| ├──课时01: 课程介绍.mp4 112.84M
| ├──课时02:半圆的三角形.mp4 533.22M
| ├──课时03:圆内接四边形.mp4 524.71M
| ├──课时04:角度的和.mp4 354.78M
| ├──课时05:多边形内角.mp4 310.69M
| ├──课时06:π.mp4 562.21M
| ├──课时07:圆周角.mp4 720.67M
| ├──课时08:有趣的三角形.mp4 606.77M
| ├──课时09:移动面积.mp4 303.31M
| ├──课时10:勾股定理.mp4 767.11M
| ├──课时11:皮克定理.mp4 725.11M
| ├──课时12:重合部分面积.mp4 268.27M
| ├──课时13:重心.mp4 664.85M
| └──最顶级、最新、最热、最具价值的英语材料清单.pdf 323.72kb
├──02《神奇的数列》3-5年级
| ├──01、课时1:课程介绍.mp4 33.07M
| ├──02、课时2:最美的分数(初识斐波那契数列).mp4 118.12M
| ├──03、课时3:5x5+8x8连续斐波那契数的平方求和.mp4 138.71M
| ├──04、课时4:斐波那契蜜蜂(从简单寻找规律).mp4 127.62M
| ├──05、课时5:1+1+2+3+5+8+13+21+34+55斐波那契数列之和.mp4 171.37M
| ├──06、课时6:1x1+1x1+2x2+3x3+5x5+8x8斐波那契螺旋.mp4 131.31M
| ├──07、课时7:PascalTriangle初识帕斯卡三角.mp4 138.15M
| ├──08、课时8:Chooseateam选择一支队伍/排列组合与帕斯卡三角.mp4 150.17M
| ├──09、课时9:帕斯卡三角的神奇巧合加.mp4 96.15M
| ├──10、课时10:11x11x11x11帕斯卡三角与二项式定理.mp4 165.66M
| ├──11、课时11:1-6+15-20+15-6+1排列组合中的奇偶相等加.mp4 135.77M
| ├──12、课时12:排列组合,斐波那契蜂巢与帕斯卡三角.mp4 174.06M
| ├──13、课时13:帕斯卡三角斜线数组和与两种证明.mp4 119.64M
| ├──14、课时14:帕斯卡三角的倾斜数组和与斐波那契数加.mp4 66.36M
| ├──15、课时15:神奇的√5加.mp4 245.03M
| ├──16、课时16:黄金比例长方形与斐波那契螺旋.mp4 115.17M
| └──最顶级、最新、最热、最具价值的英语材料清单.pdf 323.72kb
├──03《排列组合入门》3-6年级
| ├──01 课程介绍.avi 16.84M
| ├──02 .mp4 50.51M
| ├──03 朋友排队.avi 48.87M
| ├──04 吃饺子.avi 58.06M
| ├──05 家庭聚餐.avi 58.10M
| ├──06 大聚餐.avi 62.83M
| ├──07 做汤.avi 40.94M
| ├──08 海盗宝藏.avi 41.48M
| ├──09 递增数.avi 53.50M
| ├──10 电话号码.avi 48.75M
| ├──11 重复数字.avi 55.14M
| ├──12 慷慨的海盗.avi 48.23M
| └──最顶级、最新、最热、最具价值的英语材料清单.pdf 323.72kb
├──04 小学数学思维课6讲
| ├──01 任务1:掷硬币比赛 .mp4 123.65M
| ├──02 任务2:詹姆斯邦德的马蒂尼酒 .mp4 176.06M
| ├──03 任务3:朋友排队.mp4 130.01M
| ├──04 任务4:环绕赤道的绳子.mp4 176.92M
| ├──05 任务5:贝雷帽社交.mp4 177.06M
| ├──06 任务6:1001最美素数.mp4 85.52M
| └──最顶级、最新、最热、最具价值的英语材料清单.pdf 323.72kb
├──05 -数学思维课入门训练教学视频
| ├──第1章 发现数学结构
| ├──第2章 关于体积
| ├──第3章 计数与概率
| ├──第4章 关于球体
| ├──第5章 罗博深的习题集
| ├──第6章 罗博深线上研讨会
| ├──课程目录.png 64.19kb
| └──最顶级、最新、最热、最具价值的英语材料清单.pdf 323.72kb
├──06《魔法算术》3-5年级
| ├──01、魔法算术1课程介绍.mp4 54.40M
| ├──02、魔法算术277x77-76x78巧算相邻数乘积差00_00_04-.mp4 283.89M
| ├──03、魔法算术3:1+2+3+4+….+10高斯算法新解00_00_04-00_11_58.mp4 155.36M
| ├──04、魔法算术4:(1+2+3+4)+(1+2+3+4+5)+…奇妙的三角数连加00_00_27-00_09_18.mp4 113.83M
| ├──05、魔法算术5:1x2+2x3+3x4+….+9x10神奇的金字塔体积00_00_04-.mp4 212.80M
| ├──06、魔法算术6:1(1x2)+1(2x3)+1(3x4)+1(4x5)望远镜求和.mp4 110.70M
| ├──07、魔法算术7:有趣的无限循环.mp4 189.46M
| ├──08、魔法算术8:0.123123123123无限循环小数的分数变换.mp4 133.99M
| ├──09、魔法算术9:0.125有限与无限循环小数的差别.mp4 128.73M
| ├──10、法算术10:1001最美的素因数分解.mp4 76.61M
| ├──11、魔法算术11:巧妙的素因数分解.mp4 82.63M
| ├──12、魔法算术12:快速除余算法一加.mp4 157.93M
| ├──13、魔法算术13:快速除余算法二.mp4 165.11M
| ├──14、魔法算术14:快速除余算法三.mp4 177.57M
| └──最顶级、最新、最热、最具价值的英语材料清单.pdf 323.72kb
├──07 小学数感训练(完结)2-4年级
| ├──01 课程介绍.mp4 34.72M
| ├──02 农场算数.mp4 116.31M
| ├──03 农场理论.mp4 77.57M
| ├──04 登山者.mp4 105.04M
| ├──05 加或减.mp4 88.65M
| ├──06 披萨.mp4 92.42M
| ├──07 切披萨.mp4 41.20M
| ├──08 乘法.mp4 182.96M
| ├──09 走方阵.mp4 84.14M
| ├──10 除椅子.mp4 126.29M
| ├──11 服装搭配(1).mp4 41.98M
| ├──12 乘钢笔(1).mp4 132.53M
| ├──13 机场的电梯(1).mp4 52.73M
| ├──14 白天(1).mp4 124.64M
| ├──15 死星(1).mp4 77.26M
| ├──16 乘.mp4 105.24M
| ├──17 更大的数字(1).mp4 111.65M
| ├──18 两倍的力量(1).mp4 133.59M
| ├──19 乘法二(1).mp4 56.28M
| ├──20 大数字.mp4 158.16M
| ├──21 9的倍数.mp4 49.46M
| ├──22 乘5.mp4 105.97M
| ├──23 乘还是加.mp4 52.52M
| ├──24 加还是乘.mp4 130.62M
| └──25 不是9的倍数.MP4 82.51M
├──08 中小学暑假数学思维训练营课程(20天课)3-6年级
| ├──罗博深暑假训练营-配套课件
| ├──3-6年级中小学暑假数学思维训练课-第00天-课时1-开营介绍.mp4 237.06M
| ├──3-6年级中小学暑假数学思维训练课-第01天-微量测量.mp4 565.45M
| ├──3-6年级中小学暑假数学思维训练课-第02天-贝雷帽社交晚会.mp4 522.23M
| ├──3-6年级中小学暑假数学思维训练课-第03天-十角星.mp4 21.14M
| ├──3-6年级中小学暑假数学思维训练课-第04天-凑钱.mp4 349.22M
| ├──3-6年级中小学暑假数学思维训练课-第05天-数长方形.mp4 26.86M
| ├──3-6年级中小学暑假数学思维训练课-第06天- 合作.mp4 29.43M
| ├──3-6年级中小学暑假数学思维训练课-第07天-红包日.mp4 150.99M
| ├──3-6年级中小学暑假数学思维训练课-第08天-弦.mp4 39.05M
| ├──3-6年级中小学暑假数学思维训练课-第09天-人形金字塔.mp4 108.76M
| ├──3-6年级中小学暑假数学思维训练课-第10天-计算面积.mp4 87.98M
| ├──3-6年级中小学暑假数学思维训练课-第11天-礼物包装问题.mp4 137.04M
| ├──3-6年级中小学暑假数学思维训练课-第12天-自助餐组合.mp4 265.33M
| ├──3-6年级中小学暑假数学思维训练课-第13天-最小格点的三角形.mp4 248.53M
| ├──3-6年级中小学暑假数学思维训练课-第14天-同天服务.mp4 229.77M
| ├──3-6年级中小学暑假数学思维训练课-第15天-训练日.mp4 179.84M
| ├──3-6年级中小学暑假数学思维训练课-第16天-圆和半径_clip.mp4 186.76M
| ├──3-6年级中小学暑假数学思维训练课-第17天-坐火车.mp4 186.78M
| ├──3-6年级中小学暑假数学思维训练课-第18天-直角三角形.mp4 200.76M
| ├──3-6年级中小学暑假数学思维训练课-第19天-24点.mp4 212.84M
| └──3-6年级中小学暑假数学思维训练课-第20天-最大积.mp4 199.15M
├──09-小学初中寒假数学思维训练教学视频(24节课)4-9年级
| ├──罗博深冬令营按顺序课件
| ├──1 圆形站立的人群.MP4 146.84M
| ├──10 新线路1.mp4 51.94M
| ├──11 阿尔哈曾月牙.MP4 84.97M
| ├──12 策略大师.MP4 95.13M
| ├──13 夏令营.MP4 53.92M
| ├──14 抛硬币比赛.MP4 83.32M
| ├──15 机器人赛跑.MP4 58.57M
| ├──16 二次剩余.MP4 174.31M
| ├──17 有趣的日历.MP4 86.79M
| ├──18 最接近的顶点.MP4 82.25M
| ├──19 脚踏车锻炼.MP4 118.54M
| ├──2 不友好的合照.MP4 104.73M
| ├──20 数字理论 1.mp4 59.98M
| ├──21 因数中的奇数.MP4 86.75M
| ├──22 橄榄球赛.MP4 101.48M
| ├──23 切立方体.MP4 33.83M
| ├──24 礼物包装.MP4 295.05M
| ├──3 一半又一半.MP4 83.09M
| ├──4 三角形内切圆.MP4 76.68M
| ├──5 猜谜迷阵1.mp4 87.16M
| ├──6 不公平几率.MP4 56.78M
| ├──7 上下班通勤.MP4 58.94M
| ├──8 月球周期.MP4 164.71M
| └──9 数三角形.MP4 97.33M
├──10-初高中数学思维高阶课(8节课)
| ├──01创意数数.mp4 1.75G
| ├──02三维空间.mp4 1.23G
| ├──03完全无序.mp4 1.21G
| ├──04计算路径.mp4 907.11M
| ├──05计算与数论.mp4 1.62G
| ├──06二项式系数.mp4 1.60G
| ├──07a卡塔兰数.mp4 1.28G
| ├──07b卡塔兰数.mp4 391.49M
| ├──08硬币概率问题.mp4 1.78G
| ├──10直播音频.mp3 44.75M
| ├──课时9:罗博深的习题集.pptx 1.15M
| └──最顶级、最新、最热、最具价值的英语材料清单.pdf 323.72kb
├──11-初中数学数论入门(18讲)6-8年级
| ├──第八课.mp4 67.05M
| ├──第二课.mp4 159.94M
| ├──第九课.mp4 70.86M
| ├──第六课.mp4 141.47M
| ├──第七课.mp4 158.45M
| ├──第三课.mp4 151.45M
| ├──第十八课.mp4 99.79M
| ├──第十二.mp4 108.64M
| ├──第十课.mp4 185.22M
| ├──第十六课.mp4 174.79M
| ├──第十七课.mp4 121.49M
| ├──第十三课.mp4 65.36M
| ├──第十四课.mp4 157.19M
| ├──第十五课.mp4 151.41M
| ├──第十一课.mp4 184.71M
| ├──第四课.mp4 134.36M
| ├──第五课.mp4 200.22M
| └──第一课.mp4 39.90M
├──12 初中方程与代数(7-9年级)
| ├──课程表(本课程无资料).png 61.42kb
| ├──任务01:2017AMC.mp4 231.14M
| ├──任务02:猜谜.mp4 311.31M
| ├──任务03:倒数方程.mp4 81.06M
| ├──任务04:二次方程.mp4 308.96M
| ├──任务05:几对梨.mp4 296.82M
| ├──任务06:解还是不解.mp4 141.00M
| ├──任务07:篮球.mp4 117.48M
| ├──任务08:年龄差.mp4 184.50M
| ├──任务09:平方差.mp4 207.62M
| ├──任务10:展开括号项.mp4 195.49M
| └──任务11:展开更多括号项.mp4 180.83M
├──13-中学代数与无穷数(罗博深 15讲)8-12年级
| ├──第八课.mp4 222.19M
| ├──第二课.mp4 102.19M
| ├──第九课.mp4 211.00M
| ├──第六课.mp4 86.55M
| ├──第七课.mp4 198.54M
| ├──第三课.mp4 195.87M
| ├──第十二课.mp4 130.04M
| ├──第十课.mp4 99.65M
| ├──第十三课.mp4 83.79M
| ├──第十四课.mp4 139.59M
| ├──第十五课.mp4 126.11M
| ├──第十一课.mp4 92.01M
| ├──第四课.mp4 147.06M
| ├──第五课.mp4 159.68M
| └──第一课.mp4 42.80M
├──14-美国数学竞赛AMC8基础入门教学视频(25节课)小学生
| ├──第01讲:互相补给的海岛().avi 94.74M
| ├──第02讲 星战乐高().avi 96.55M
| ├──第03讲 星期五是13号.avi 247.57M
| ├──第04讲 俄罗斯方块.avi 223.01M
| ├──第05讲 递归.avi 120.85M
| ├──第06讲 游泳池.avi 113.30M
| ├──第07讲 旗帜的面积.avi 75.39M
| ├──第08讲 上下波动.avi 52.77M
| ├──第09讲 图形难题.avi 202.79M
| ├──第10讲 三角形问题.avi 129.91M
| ├──第11讲 电影票.avi 145.65M
| ├──第12讲 极好的骰子.avi 105.31M
| ├──第13讲 5们.avi 91.56M
| ├──第14讲 家庭旅游.avi 138.86M
| ├──第15讲 柠檬水.avi 150.10M
| ├──第16讲 搭配服装.avi 180.83M
| ├──第17讲 完美的乘积.avi 72.84M
| ├──第18讲 正方形.avi 100.48M
| ├──第19讲 黄金三角形.avi 85.05M
| ├──第20讲 不同三角形.avi 145.58M
| ├──第21讲 圆周率.avi 69.84M
| ├──第22讲 避开.avi 84.40M
| ├──第23讲 分糖.avi 97.90M
| ├──第24讲 数谜.avi 57.16M
| ├──第25讲 领奖台.avi 62.05M
| └──最顶级、最新、最热、最具价值的英语材料清单.pdf 323.72kb
├──15-美国数学竞赛AMC10基础入门教学视频(25节课)
| ├──10闪电.avi 47.64M
| ├──11镜面对称.avi 25.08M
| ├──12排队的鸭子.avi 38.76M
| ├──13转动的轮子.avi 52.94M
| ├──14零食要吃完了.avi 126.29M
| ├──15海风.avi 84.95M
| ├──16冰淇淋.avi 93.86M
| ├──17半个w.avi 51.85M
| ├──18彩色玻璃窗.avi 74.52M
| ├──19有1了.avi 73.89M
| ├──1分享披萨.avi 91.53M
| ├──20黄金平分线.avi 67.67M
| ├──21更多彩色玻璃.avi 40.77M
| ├──22小白鼠.avi 134.94M
| ├──23地砖.avi 43.34M
| ├──24隧道.avi 36.34M
| ├──25循环的规律.avi 77.46M
| ├──2繁分数.avi 49.40M
| ├──3缺零钱.avi 28.34M
| ├──4梯形.avi 42.18M
| ├──5百分比.avi 42.71M
| ├──6体积.avi 69.55M
| ├──7操作不当.avi 77.23M
| ├──8价格波动.avi 47.01M
| ├──9整数数列.avi 67.47M
| ├──罗博深AMC10精讲课 - 课程介绍.png 855.67kb
| └──最顶级、最新、最热、最具价值的英语材料清单.pdf 323.72kb
├──美国奥数总教练罗博深(上):如果不是第一,美国人就不会关心.mp4 216.10M
├──美国奥数总教练罗博深(下):想在美国当学霸?先学会怎么给自己“增负”.mp4 217.02M
├──美国夺得国际奥数冠军 主教练称自由是法宝.mp4 11.02M
├──如何学好数学(罗博深).mp4 380.68M
└──小学奥数.docx 31.28kb
1、本站整理、介绍、推荐的资源版权属于原出版机构或影像公司,展示、分享仅限于学习交流与研究目的、 参考和辅助购买决策,不得以任何理由在商业行为中使用,否则后果请用户自负。
2、本站仅提供一个观摩学习的环境,相关资源信息及内容均来源于网友投稿或网络(百度网盘),版权争议与本站无关。如有侵权,请邮件联系3360166@qq.com 删除处理。详见权利通知处理。
3、若您喜欢该电子资源,敬请购买注册实体产品,获得更好的技术支持与客户服务。

评论0